应用介绍
软件介绍
那个,金字塔计算器真的是我最近发现的一个宝藏应用,特别适合像我这种数学不太好的学生和工程师。它能快速帮你计算复杂图形的面积和体积,简直是做作业和工作中的救星。界面设计得很简洁,上手也超快,几分钟就能搞定基本操作。对于那些需要频繁进行几何计算的人来说,绝对能提升效率,节省不少时间。
使用场景
日常生活中需要计算某些物品体积时
上课时做作业时必备工具
在建筑、设计等专业领域特别有用,可以快速完成各种图形计算
版本亮点

界面友好,谁用谁知道好
比起传统计算器更专业,更能满足复杂计算需求
使用起来省时省力,帮我解决了不少难题
常见问题
如果遇到运算错误该怎么办?
遇到运算错误时,可以逐步检查每一步的数据输入,有时会是小细节导致结果不对。
这个应用适合哪些人群使用?
金字塔计算器非常适合数学苦手的学生、需要频繁做几何运算的工程师,以及对图形计算有需求的设计师。
如何确保我的输入数据准确?
确保输入数据准确的方法是仔细核对每个数字,如果不确定可以参考帮助文档。
编辑点评
编辑点评:金字塔计算器作为系统工具,相比其他类似应用,这个在用户体验上更胜一筹,值得推荐。
使用指南
学习难度
新手上手非常容易,只需短短几分钟就能掌握基本功能。建议先从简单的图形开始尝试,慢慢熟悉各种运算方式。
使用技巧
• 避免一次输入过多信息,以免造成混淆
• 在使用时可以先确认输入数据的准确性,这样输出结果会更加精准
• 多利用应用内的小提示和教程,可以加速学习过程
常见问题
• 如果遇到计算结果不对,建议仔细检查每一步输入
• 有时候可能会因为系统兼容性问题导致崩溃,可以重启试试
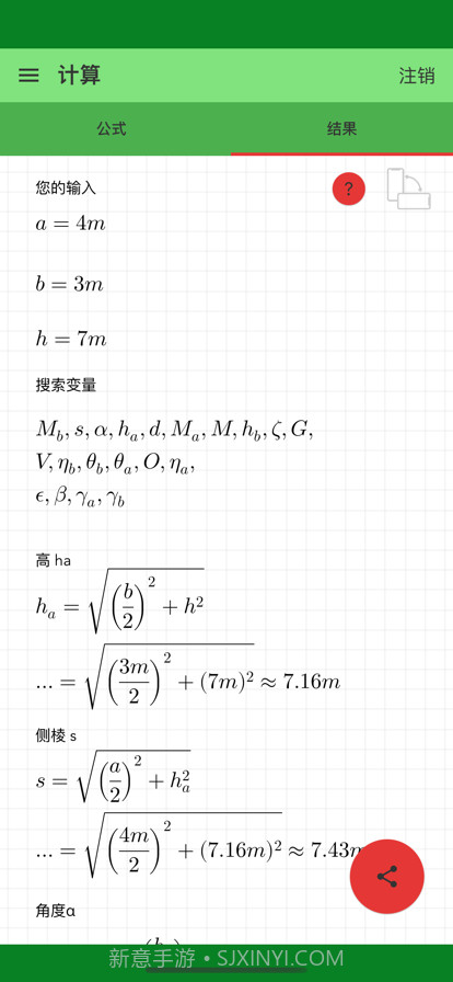
软件截图
历史版本
本类排行
-
1
![PDF极速转换工具]()
PDF极速转换工具
办公学习 / 93.06MB
详情 -
2
![炸了那些怪物]()
炸了那些怪物
休闲益智 / 54.23MB
详情 -
3
![录屏自动点击器]()
录屏自动点击器
系统工具 / 59.4MB
详情 -
4
![城市勇者模拟器]()
城市勇者模拟器
动作格斗 / 21.29MB
详情 -
5
![公主宝宝小医生]()
公主宝宝小医生
休闲益智 / 57.41MB
详情 -
6
![涂鸦绘画大师]()
涂鸦绘画大师
办公学习 / 32.85MB
详情 -
7
![移动气泡Movebubble]()
移动气泡Movebubble
生活实用 / 35.2MB
详情 -
8
![SmartHealth]()
SmartHealth
生活实用 / 60.31MB
详情 -
9
![三国小都将]()
三国小都将
休闲益智 / 165.77MB
详情 -
10
![优路人才网(人才信息资源工具)V1.1 安卓最新版]()
优路人才网(人才信息资源工具)V1.1 安卓最新版
办公学习 / 7.96MB
详情






